Aerodynamic / Aero-acoustic / Aero-elastic Design and Analysis of Heavy-lift eVTOL Vehicle
Following growing public demand for improved urban transportation, Urban Air Mobility (UAM) concepts have recently drawn considerable attention from industry and academia. It is notable, however, that most existing eVTOL designs have a capacity of 2 to 6 passengers, as an air taxi or a personal vehicle. The possibility of heavy-lift eVTOL vehicles has been rarely explored.
In light of this, GKN Aerospace have proposed the Skybus concept as part of a techno-economic feasibility assessment under the UK ISCF Future Flight Challenge. Skybus aims to take the ”Park and Ride” concept into the air for mass transit over extremely congested routes thus eliminating the 2-dimensional constraints of current surface transport modes including cars, trains, and buses. Compared to the smaller eVTOL designs, the large size of the Skybus poses extra challenges to the vehicle design in terms of the performance, dynamics, and especially acoustics.
This work presents the multi-fidelity design and analysis methodologies of the aerodynamics/acoustics/elasticity of the Skybus heavy-lift eVTOL at Glasgow. The main tasks of this work focus on the propeller design (detailed at the end of this page), the airframe design, and the evaluation of the overall vehicle acoustics. The aerodynamic characteristics of the initial airframe designs were first calculated through CFD simulations. Design changes in the wing anhedral/dihedral angles were also explored as shown in the figures below, and Kriging surrogate models were constructed to examine the corresponding performance changes due to aerodynamic interference.
Airframe design analysis |
Lift changes brought by wing anhedral/dihedral angles |
Initial simulations of the complete vehicle in climb mode were first carried out to quickly examine the flow features and interference effects with the rotors represented by actuator lines. The near-field acoustic propagations were also extracted from the flow solution as shown in the figure below.
Flow features of the Skybus in climb Mode |
Near-field acoustic features in climb mode |
High-fidelity blade-resolved simulations of the Skybus in forward flight were later carried out. The simulations explored several operating options in forward flight. The figures below present the resolved flow details of the 2-rotor-powered and the 6-rotor-powered configurations, respectively, corresponding to the least and most complex aerodynamic interactions. The performance differences were compared in detail.
Two-rotors-powered configuration in forward flight |
![]() Six-rotors-powered configuration in forward flight |
Near- and far-field acoustic characteristics of the Skybus in forward flight were also computed from the flow solutions. The figures below present the near- and far-field acoustic features of the 2-rotor configuration. The near-field acoustics was extracted directly from the CFD solution, while the far-field noise was computed using the FW-H equation using the CFD results as input.
Vehicle surface acoustic pressure contours (2-rotor configuration). |
This work is ongoing and more high-fidelity simulation results are to be released soon.
Contacts
G. Barakos (Professor), George.Barakos@glasgow.ac.uk
T.Zhang(Research Assistant), t.zhang.4@research.gla.ac.uk


Multi-fidelity eVTOL Propeller Design
To support the development of the Skybus vehicle, a multi-fidelity design approach for the eVTOL rotor blades was explored. The lower-order code XRotor was used for a fast preliminary estimation of the rotor loads. As shown in the figure below, a family of designs with different blade numbers were quickly evaluated and an initial optimal design was selected.
Initial sample designs.Fast performance evaluation using XRotor.Selecting the optimal initial design.
![]() |
![]() |
![]() |
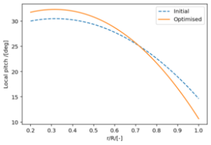
The CAD model of the initial design was then constructed and high-fidelity CFD simulations of the initial propeller design were then performed using the HMB3 solver for verification. Later, gradient-based shape optimisation was used to further improve the performance based on adjoint formulations. The optimisation convergence history and the shape changes are presented in the figures below.
Optimisation convergence history. | Blade chord changes. | Blade pitch changes. |
|---|
Compared to the conventional pitch control, a future eVTOL vehicle is likely to adopt both pitch and RPM regulations for the propeller blades. To support the fast performance evaluation at specific pitch/RPM combinations, this work evaluated the propeller's aerodynamic and acoustic performance over a range of RPM and pitch settings. Kriging surrogate models were then constructed using these sample points to provide fast and accurate performance predictions. The pitch-RPM maps shown below also provide guidance for the determination of operating conditions in installed cases.
Thrust map. |
Power map. |
Noise level map. |
|---|




Optimisation convergence history.
Blade chord changes.
Blade pitch changes.